color.png
 
 

Compositing: chromaticity

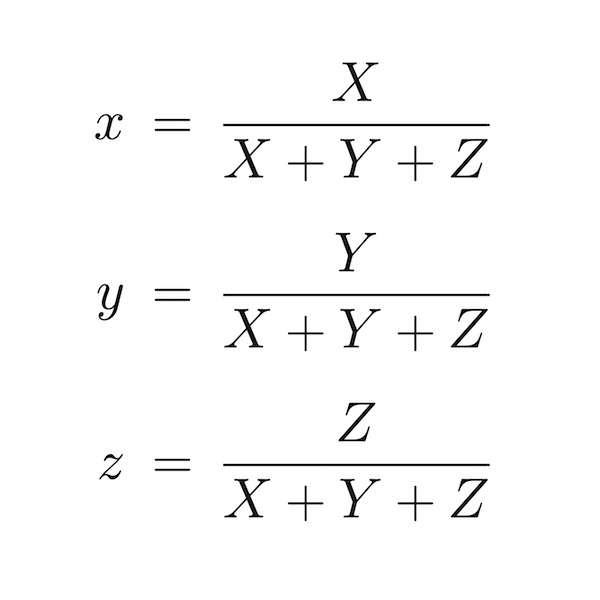
Chromaticity is a concept I learned from a compositor at Framestore and have been using in many of my shots ever since. It’s essentially a way to break apart an image, work on both separate parts (color and light), and merge them back together.

Screen Shot 2020-01-19 at 2.37.29 PM.png

I made a demo of the operation below - what is does is allow you to get the chromaticity, raw color without lighting information:

CHROMATICITY FOR GREENSCREEN/BLUESCREEN

How is this helpful for keying? This can help you get some uneven green screens, especially ones with dark patches:




CHROMATICITY FOR COLOR MANIPULATION

My most common use for it is to change color without changing the lightness of the object for paint-outs. This is a change I did to the chromaticity of the screen left wall to keep the original brightness in the image. Gif below:



This concept has really changed the way I work, especially with removing lens flares - Happy compositing!